随着纳米材料的快速发展,基于纳米单元自下而上组装构建而成的宏观体材料展现出不同于传统材料的诸多特异性能,其中基于碳纳米管网络结构的各类宏观体,如纤维、薄膜、海绵、气凝胶等,展现出了丰富的力、电、热功能特性,已成为发展结构功能一体化的重要基础材料。在这类材料中,碳管之间是以共价或非共价作用相互连接,形成典型的交联网络结构(cross-linked networks)。然而由于交联网络结构的复杂性,其力学行为无法利用传统材料的连续介质理论进行描述,因此认知影响其力学性能的关键结构因素仍然面临着挑战。近年来诸多研究表明,随着交联密度的改变,碳管宏观材料表现出截然不同的力学性质,如刚性与柔性、脆性与韧性、弹性与塑性等,更使得开展交联网络力学行为的相关理论研究迫在眉睫。
近日,我院赵军华教授团队和东华大学张骁骅研究员、南京航空航天大学郭万林院士团队合作在ACS Nano上发表了基于图论思想发展碳管网络力学的传载连通性理论的研究成果。论文利用课题组前期建立的粗粒化分子动力学方法(J. Mech. Phys. Solids 2019, 128, 79-104)模拟了不同交联密度下碳管网络的力学行为,揭示出随着交联密度的增加,碳管网络展现出四种不同承载方式主导的力学行为,从而构建了由交联密度决定的力学“相图”。
基于粗粒化分子动力学模拟及实验验证,研究团队揭示了碳管网络随其交联密度变化而形成的不同力学行为,构建了交联网络力学相图,发现了交联密度存在渗流、连通及饱和等阈值,并借鉴图论连通性理论阐明了不同阈值下应力传载的特性及传载通路的构建规律。该研究不仅揭示出影响碳管网络力学的关键结构因素,也为组装结构材料的力学行为研究提供了一种崭新的研究思路,有望推动结构功能一体化材料的进一步发展。

图1.不同交联密度和拉伸应变下碳管网络主导变形模式的“相图”和韧脆转变的模拟图。

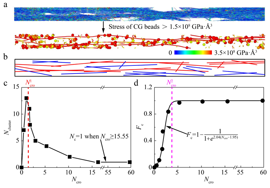
图2.粗粒化分子动力学模拟中(a)交联碳管网络(Ncro =1.66)在应变为3.34时的应力云图和局部放大图。(b)连续载荷传递路径示意图。负载和非负载团簇分别以红色和蓝色表示。碳管网络中交联密度与(c)团簇数量和(d)团簇因子关系曲线。
相关论文发表在ACS Nano上,437437必赢国际网址博士研究生纪加超为文章的第一作者,张骁骅研究员、赵军华教授和郭万林院士为共同通讯作者。